CogitaVerse

Watch full lecture in Hindi/Urdu

Watch full lecture in English

Applications of Kohlrausch’s Law

(1) Calculation of λ∞  for Weak electrolytes

κV = λ ∞ = λ anion + λ cation

Download Complete Notes for Kohlrausch’s Law Below

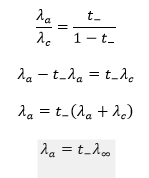
(4) Calculation of the Degree of Dissociation or Conductance Ratio

λH+ = 349.8 mho cm-1

λ OH– = 198.5 mho cm-1

λH2O = λH+ + λ OH

349.8 + 198.5 = 548.3 mho cm-1

Since one water molecule gives one H+ ion and one OH ion

So

H2O = H+ + OH

Assuming that conductance and ionic concentration are proportionate, we have

[H+] = [OH] = (is 5.54 × 10-8) / 548.3= 1.01 × 10-7 g ion litre-1

Leave a Comment

Your email address will not be published. Required fields are marked *

No comments to show.
Scroll to Top