Derivation of Schrodinger Wave Equation from Postulates of Quantum Mechanics
Time-independent Schrödinger equation
The Schrödinger Equation is the fundamental pillar of quantum mechanics, serving as the “Newton’s Second Law” for the subatomic world. The schrodinger equation derivation can be achieved from the classical wave equation as well as from the third postulate of quantum mechanics. While classical physics uses equations to predict the exact path of an object, the Schrödinger equation describes the probability of finding a particle in a specific location.
The above mentioned second order differential equation is our popular form of Schrodinger wave equation.
Derivation of Schrodinger Wave Equation
The Schrödinger wave equation can be derived using the first three postulates of quantum mechanics. In essence, the Schrödinger equation is a rearranged form of the Eigenvalue equation for energy:
Step 1: Defining Total Energy
Consider a single particle of mass $m$ moving with velocity $v$ in a three-dimensional region. The sum of its kinetic and potential energy is given by:
E = T + V ———–>2
In terms of momentum $p$, kinetic energy is expressed as:
Where p represents the total linear momentum. Since the particle moves in 3D space, the total momentum squared is the sum of its components along the x, y, and z axes:
—–>4
Substituting equation (4) into equation (3), we get:
—–>5
Placing this kinetic energy value back into our energy equation (2):
—–>6
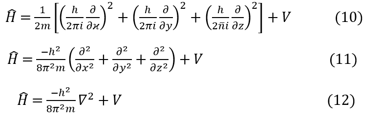
Step 2: Applying Quantum Operators
According to the second postulate, physical observables are represented by mathematical operators. The linear momentum operators for the three dimensions are:

Since potential energy V is a function of position, its operator is simply itself. Substituting these into equation (6), we define the Hamiltonian Operator:

Squares are expanded and equation becomes negative (recalling that ). Also, in above equation
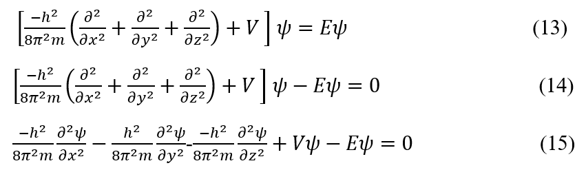
Step 3: Final Derivation, insertion of Hamiltonian operator,
Now, applying the third postulate , we substitute our Hamiltonian from equation (11) into equation (1):

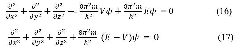
Multiplying the entire equation by , we arrive at the standard form:

Equation (17) is the most popular form of the Schrodinger wave equation for three dimensional system. In the case of two and one dimensional systems first three terms can be reduced to two and one, respectively.
This equation is caled Schrodinger’s Wave Equation.
The first three terms on the left-hand Side are represented by 𝛻^2 𝜓 (pronounced as del-square sigh).
𝛻^2 is known as Laplacian Operator.
